Question Answer For All Chapters – Ganita Prakash Class 7th
Figure it Out (Page 84-85)
1. Write formulas for the perimeter of:
(a) triangle with all sides equal.
(b) a regular pentagon (as we have learnt last year, we use the word ‘regular’ to say that all sidelengths and angle measures are equal)
(c) a regular hexagon
Ans:
(a) Let sidelength of each side of triangle = a
So, perimeter of triangle with all sides equal = 3a.
(b) Let sidelength of a regular pentagon = a
So, perimeter of the regular pentagon = 5a
(c) Let sidelength of a regular hexagon = a
So, perimeter of the regular hexagon = 6a
2. Munirathna has a 20 m long pipe. However, he wants a longer watering pipe for his garden. He joins another pipe of some length to this one. Give the expression for the combined length of the pipe. Use the letter-number ‘k’ to denote the length in meters of the other pipe.
Ans:
Let the length of the first pipe = 20 m
Let the length of the second pipe = k m
Then,
Combined length of the pipe = (20 + k)m.
3. What is the total amount Krithika has, if she has the following numbers of notes of ₹100, ₹20 and ₹5? Complete the following table:
Ans:
| No. of ₹100 notes | No. of ₹20 notes | No. of ₹5 notes | Expression and Total Amount |
|---|---|---|---|
| 3 | 5 | 6 | (3 × 100) + (5 × 20) + (6 × 5) = 300 + 100 + 30 = 430 |
| 6 | 4 | 3 | (6 × 100) + (4 × 20) + (3 × 5) = 600 + 80 + 15 = 695 |
| 8 | 4 | z | (8 × 100) + (4 × 20) + (z × 5) = 800 + 80 + 5z = 880 + 5z |
| x | y | z | (x × 100) + (y × 20) + (z × 5) = 100x + 20y + 5z |
4. Venkatalakshmi owns a flour mill. It takes 10 seconds for the roller mill to start running. Once it is running, each kg of grain takes 8 seconds to grind into powder. Which of the expressions below describes the time taken to complete grind ‘y’ kg of grain, assuming the machine is off initially?
(a) 10 + 8 + y
(b) (10 + 8) × y
(c) 10 × 8 × y
(d) 10 + 8 × y
(e) 10 × y + 8
Ans:
- Time taken to start the machine = 10 seconds
- Time taken to grind 1 kg = 8 seconds
- Time taken to grind y kg = 8 × y seconds
Total time taken = (Time to start) + (Time to grind y kg)
Total time = 10+8y
5. Write algebraic expressions using letters of your choice.
(a) 5 more than a number
(b) 4 less than a number
(c) 2 less than 13 times a number
(d) 13 less than 2 times a number
Ans:
(a) 5 more than a number → x+5
(b) 4 less than a number → x−4
(c) 2 less than 13 times a number → 13 × x−2 = (13x−2)
(d) 13 less than 2 times a number → 2 × x−13 = (2x−13)
6. Describe situations corresponding to the following algebraic expressions:
(a) 8 × x + 3 × y
(b) 15 × j – 2 × k
Ans:
(a) 8 × x + 3 × y
Situation:
A shopkeeper sells x pencils at ₹8 each and y erasers at ₹3 each.
The expression 8x + 3y represents the total money earned by selling the pencils and erasers.
(b) 15 × j – 2 × k
Situation:
A person earns ₹15 for each job done (j jobs) but spends ₹2 for each kilometer (k km) travelled.
The expression 15j – 2k represents the person’s net earnings after travel expenses.
7. In a calendar month, if any 2 × 3 grid full of dates is chosen as shown in the picture, write expressions for the dates in the blank cells if the bottom middle cell has date ‘w’.
Ans: the bottom middle date is w.
In a calendar:
- The date just before it (on the left) will be w – 1.
- The date after it (on the right) will be w + 1.
- The dates in the row above are 7 less than the ones below (because the same day comes again after 7 days).
So, we subtract 7 from each bottom date to get the top row.
| w – 8 | w – 7 | w – 6 |
| w – 1 | w | w + 1 |
4.2 Revisiting Arithmetic Expressions (Page 85-86)
We learnt to write expressions as sums of terms, and it became easy for us to read arithmetic expressions. Many times, they could have been read in multiple ways, and it was confusing. We used swapping (adding two numbers in any order) and grouping (adding numbers by grouping them conveniently) to find easy ways of evaluating expressions. Swapping and grouping terms does not change the value of the expression. We also learnt to use brackets in expressions, including brackets with a negative sign outside. We learnt the distributive property (multiple of a sum is the same as sum of multiples).
Now, find the values of the other arithmetic expressions.
1. 23 – 10 × 2
2. 83 + 28 – 13 + 32
3. 34 – 14 + 20
4. 42 + 15 – (8 – 7)
5. 68 – (18 + 13)
6. 7 × 4 + 9 × 6
7. 20 + 8 × (16 – 6)
Ans:
Mind the Mistake, Mend the Mistake (Page 85-86)
Some simplifications are shown below where the letter-numbers are replaced by numbers and the value of the expression is obtained.
1. Observe each of them and identify if there is a mistake.
2. If you think there is a mistake, try to explain what might have gone wrong.
3. Then, correct it and give the value of the expression.
Ans:
1. If a = –4, then 10 – a = 6
Substitute a = –4
10 – (–4) = 10 + 4 = 14
a = -4, then the correct expression is 10 – a = 14.
10 – a = 6 is wrong.
2. If d = 6, then 3d = 36
Substitute d = 6
3 × 6 = 18
The correct expression is 3d = 18.
3d = 36 is wrong.
3. If s = 7, then 3s – 2 = 15
Substitute s = 7
3 × 7 – 2 = 21 – 2 = 19
The correct expression is 3s – 2 = 19
3s – 2 = 15 is wrong.
4. If r = 8, then 2r + 1 = 29
Substitute r = 8
2 × 8 + 1 = 16 + 1 = 17
The correct expression is 2r + 1 = 17.
2r + 1 = 29 is wrong.
5. If j = 5, then 2j = 10
Substitute j = 5
2 × 5 = 10
2j = 10 is correct.
6. If m = –6, then 3(m + 1) = 19
Substitute m = –6
3(–6 + 1) = 3(–5) = –15
the correct expression is 3(m + 1) = -15.
3(m + 1) = 19 is wrong.
7. If f = 3, g = 1, then 2f – 2g = 2
Substitute f = 3, g = 1
2×3 – 2×1 = 6 – 2 = 4
The correct expression is 2f – 2g = 4.
2f – 2g = 2 is wrong.
8. If t = 4, b = 3, then 2t + b = 24
Substitute t = 4, b = 3
2×4 + 3 = 8 + 3 = 11
The correct expression is 2t + b = 11.
2t + b = 24 is wrong.
9. If h = 5, n = 6, then h – (3 – n) = 4
Substitute h = 5, n = 6
5 – (3 – 6) = 5 – (–3) = 5 + 3 = 8
The correct expression is h – (3 – n) = 8.
h – (3 – n) = 4 is wrong.
4.4 Simplification of Algebraic Expressions (Page 88-89)
Q. If c = ₹50, find the total amount earned by the scale of pencils.
Ans: Total amount earned by the sale of pencils = (5 + 3 + 10) × c
= (5 + 3 + 10) × ₹ 50
= 18 × ₹ 50
= ₹ 900
Q. Write the expression for the total money earned by selling erasers. Then, simplify the expression.
Ans: Money earned by selling erasers = 4d+6d+1d
4d+6d+1d = (4+6+1)d = 11d
Q. Check that both expressions take the same value when c is replaced by different numbers.
Ans: Let c = 5, then
5c + 3c + 10c = 5 × 5 + 3 × 5 + 10 × 5
= 25 + 15 + 50
= 40 + 50
= 90
And 18c = 18 × 5 = 90
Hence, both expressions take the same value when c is replaced by the number 5.
Similarly, we can verify for other numbers.
Pages 91 – 93
Q. Could we have written the initial expression as
(40x + 75y) + (– 6x – 10y)?
Ans: Yes, as (40x + 75y) + (-6x – 10y)
= (40x + 75y) + -(6x + 10y)
= (40x + 75y) – (6x + 10y)
Example 8: Charu has been through three rounds of a quiz. Her scores in the three rounds are 7p – 3q, 8p – 4q, and 6p – 2q. Here, p represents the score for a correct answer and q represents the penalty for an incorrect answer.
Q. What are her scores in the second and third rounds?
Ans: Given:
- p = marks for each correct answer
- q = marks cut (penalty) for each wrong answer
- Second round score = 8p – 4q
- Third round score = 6p – 2q
If we take p = 4 and q = 1 (as in the example):
Second round:
8p–4q = 8×4–4×1 = 32–4 = 28
Third round:
6p–2q = 6×4–2×1 = 24–2 = 22
Second round = 28, Third round = 22
Q. What if there is no penalty? What will be the value of q in that situation?
Ans: If there is no penalty, it means no marks are subtracted for a wrong answer.
So, the penalty (q) will be 0.
Q. Give some possible scores for Krishita in the three rounds so that they add up to give 23p – 7q.
Ans: Krishita’s total score = 23p – 7q (As Given)
Now, Charu’s scores were:
- 7p – 3q
- 8p – 4q
- 6p – 2q
(Total = 21p – 9q)
We need three expressions like these (each in the form something × p – something × q) that add up to 23p – 7q.
One possible set of scores for Krishita:
- 9p – 3q
- 8p – 2q
- 6p – 2q
Now, add them:
(9p–3q)+(8p–2q)+(6p–2q)
= (9+8+6)p–(3+2+2)q
= 23p–7q
Q. Can we say who scored more? Can you explain why?
How much more has Krishita scored than Charu? This can be found by finding the difference between the two scores. 23p – 7q – (21p – 9q)
Simplify this expression further.
Ans: Given:
Krishita’s total score = 23p – 7q
Charu’s total score = 21p – 9q
Difference = (23p–7q)–(21p–9q)
=23p–7q–21p+9q
=(23p–21p)+(–7q+9q)
=2p+2q
We can say Krishita scored more, because the result is positive (2p + 2q) — that means her total marks are higher by 2p + 2q.
Q. Fill the blanks below by replacing the letter-numbers by numbers; an example is shown. Then compare the values that 5u and 5 + u take.
Ans:
Q. After filling in the two diagrams, do you think the two expressions are equal?
Ans:
The blanks around 5u will be filled as: 55, 40, 10, 25
The blanks around 5 + u will be filled as: 16, 13, 7, 10
The values of 5u and 5 + u are not equal, so the two expressions are different.
Figure it Out (Pages 91 – 93)
1. Add the numbers in each picture below. Write their corresponding expressions and simplify them. Try adding the numbers in each picture in a couple different ways and see that you get the same thing.
Ans:
2. Simplify each of the following expressions:
(a) p + p + p + p, p + p + p + q, p + q + p – q,
(b) p – q + p – q, p + q – p + q,
(c) p + q – (p + q), p – q – p – q
(d) 2d – d – d – d, 2d – d – d – c,
(e) 2d – d – (d – c), 2d – (d – d) – c,
(f) 2d – d – c – c
Ans: (a) p + p + p + p, p + p + p + q, p + q + p – q,
- p+p+p+p = 4p
- p+p+p+q = 3p+q
- p + q + p – q = 2p
(b) p – q + p – q, p + q – p + q
- p−q+p−q = p+p−q−q = 2p−2q
- p+q−p+q = p−p+q+q = 2q
(c) p + q – (p + q), p – q – p – q
- p + q – (p + q) = p+q−p−q = 0
- p−q−p−q = p−p−q−q = −2q
(d) 2d – d – d – d, 2d – d – d – c,
- 2d−d−d−d
- = (2d−d)−d−d = d−d−d = −d
- 2d−d−d−c
- = (2d−d−d)−c=0−c = −c
(e) 2d – d – (d – c), 2d – (d – d) – c,
- 2d−d−(d−c)
- = 2d−d−d+c = 0+c = c
- 2d−(d−d)−c
- Inside bracket: d−d = 0
- So: 2d−0−c = 2d−c
(f) 2d−d−c−c
= (2d−d)−c−c = d−2c
Mind the Mistake, Mend the Mistake (Pages 94 – 95)
Some simplifications of algebraic expressions are done below. The expression on the right-hand side should be in its simplest form.
Observe each of them and see if there is a mistake.
• If you think there is a mistake, try to explain what might have gone wrong.
• Then, simplify it correctly.
Ans:
| No. | Expression | Simplest Form (Given) | Correct Simplest Form |
|---|---|---|---|
| 1. | 3a + 2b | 5 | 3a + 2b |
| 2. | 3b – 2b – b | 0 | 0 |
| 3. | 6(p + 2) | 6p + 8 | 6p + 12 |
| 4. | (4x + 3y) – (3x + 4y) | x + y | x – y |
| 5. | 5 – (2 – 6z) | 3 – 6z | 3 + 6z |
| 6. | 2 + (x + 3) | 2x – 6 | x + 5 |
| 7. | 2y + (3y – 6) – y | + 6 | 4y – 6 |
| 8. | 7p – p + 5q – 2q | 7p + 3q | 6p + 3q |
| 9. | 5(2w + 3x + 4w) | 10w + 15x + 20w | 30w + 15x |
| 10. | 3j + 6k + 9h + 12 | 3(j + 2k + 3h + 4) | Correct |
| 11. | 4(2r + 3s + 5) – 20 | -8r – 12s | 8r + 12s |
Q. Take a look at all the corrected simplest forms (i.e. brackets are removed, like terms are added, and terms with only numbers are also added). Is there any relation between the number of terms and the number of letter-numbers these expressions have?
Ans: Yes.
The number of terms in the simplified expression equals the number of different letter-numbers (variables) in it.
Q. Find the formulas of the number machines below and write the expression for each set of inputs.
Ans: (A) Formula: Two subtracted from the sum of the two numbers.
Algebraic expression: a + b – 2.
5th expression: a + b – 2.
(B) Formula: One added to the multiplication of two numbers.
Algebraic expression: (a × b) + 1 = ab + 1.
4th expression: 10 × 3 + 1 = 30 + 1 = 31.
5th expression: a × b + 1 = ab + 1.
Patterns in a Calendar (Pages 99)
Q. Verify this expression for diagonal sums by considering any 2 × 2 square and taking its top left number to be ‘a’.
Ans: Top left number (8) = a
Number to the right 8 (9) = a + 1
Number below 8 (15) = a + 7
Number diagonal to 8 (16) = a + 8
First diagonal sum (8 + 16 = 24) = a + (a + 8) = 2a + 8.
Second diagonal sum (9 + 15 = 24) = (a + 1) + (a + 7) = 2a + 8.
Hence, verified that both diagonal sums are equal to 2a + 8.
Q. Find the sum of all the numbers. Compare it with the number in the centre: 15. Repeat this for another set of numbers that forms this shape. What do you observe?
Ans:
Matchstick Patterns (Pages 100,101)
Q. How many matchsticks will there be in Step 33, Step 84, and Step 108? Of course, we can draw and count, but is there a quicker way to find the answers using the pattern present here?
Ans: We know that the number of matchsticks needed to form the pattern is given by the rule:
Number of matchsticks = 2n+1
where n is the step number (or the number of triangles).
Now, using this formula:
For Step 33:
- 2×33+1 = 66+1 = 67
For Step 84:
- 2×84+1 = 168+1 = 169
For Step 108:
- 2×108+1 = 216+1 = 217
Q. Does the above expression also give the number of matchsticks at each step correctly? Are these expressions the same?
Ans: Yes, both the expressions 3 + 2 × (y – 1) and 2y + 1 correctly give the number of matchsticks at each step.
This is because they are equivalent expressions — they simplify to the same result.
Here’s how:
3+2×(y–1) = 3+2y–2 = 2y+1
So, whether we use 3 + 2 × (y – 1) or 2y + 1, both represent the same pattern and give the same number of matchsticks for any step.
Q. What are these numbers in Step 3 and Step 4?
Ans: In step 3, there are 3 matchsticks placed horizontally and 4 matchsticks placed diagonally.
In step 4, there are 4 matchsticks placed horizontally and 5 matchsticks placed diagonally.
Q. How does the number of matchsticks change in each orientation as the steps increase? Write an expression for the number of matchsticks at Step ‘y’ in each orientation. Do the two expressions add up to 2y + 1?
Ans: Number of horizontal matchsticks per step = y
Number of diagonally placed matchsticks per step = y + 1
Total matchsticks for step y:
Horizontal = y
Diagonal = y + 1
Total = y + (y + 1) = 2y + 1
Conclusion: The expressions are correct and they do indeed add up to 2y + 1.
Figure it Out (Pages 102)
For the problems asking you to find suitable expression(s), first try to understand the relationship between the different quantities in the situation described. If required, assume some values for the unknowns and try to find the relationship.
1. One plate of Jowar roti costs ₹30 and one plate of Pulao costs ₹20. If x plates of Jowar roti and y plates of pulao were ordered in a day, which expression(s) describe the total amount in rupees earned that day?
(a) 30x + 20y
(b) (30 + 20) × (x + y)
(c) 20x + 30y
(d) (30 + 20) × x + y
(e) 30x – 20y
Ans:
- Each Jowar roti plate costs ₹30 → total for x plates = 30x
- Each Pulao plate costs ₹20 → total for y plates = 20y
Total earnings in a day = ₹(x × 30) + (y + 20) = 30x + 20y.
2. Pushpita sells two types of flowers on Independence day: champak and marigold. ‘p’ customers only bought champak, ‘q’ customers only bought marigold, and ‘r’ customers bought both. On the same day, she gave away a tiny national flag to every customer. How many flags did she give away that day?
(a) p + q + r
(b) p + q + 2r
(c) 2 × (p + q + r)
(d) p + q + r + 2
(e) p + q + r + 1
(f) 2 × (p + q)
Ans: (a) The number of customers who purchased only champak flowers = p.
The number of customers who purchased only marigold flowers = q.
The number of customers who purchased both champak and marigold = r.
Since Pushpita gave one national flag to each customer,
the total number of flags distributed that day = p + q + r.
3. A snail is trying to climb along the wall of a deep well. During the day it climbs up ‘u’ cm and during the night it slowly slips down ‘d’ cm. This happens for 10 days and 10 nights.
(a) Write an expression describing how far away the snail is
from its starting position.
(b) What can we say about the snail’s movement if d > u?
Ans: (a) During the daytime, the snail climbs up u cm,
and during the night, it slips down d cm.
Therefore, the net distance covered in one complete day–night cycle = u – d cm.
In 10 such days and nights, the total distance covered by the snail = 10(u – d) cm.
Hence, the expression for how far the snail is from its starting position is 10(u – d) cm.
(b) If d > u, the snail slips down more than it climbs each day.
This means the snail will keep losing height and will never reach the top of the well.
4. Radha is preparing for a cycling race and practices daily. The first week she cycles 5 km every day. Every week she increases the daily distance cycled by ‘z’ km. How many kilometers would Radha have cycled after 3 weeks?
Ans: In the first week, Radha cycles 5 km every day.
So, total distance in the first week = 7 × 5 = 35 km.
In the second week, she increases the daily distance by z km,
so she cycles (5 + z) km each day.
Total distance in the second week = 7 × (5 + z) = 35 + 7z km.
In the third week, she again increases the daily distance by z km,
so she cycles (5 + 2z) km each day.
Total distance in the third week = 7 × (5 + 2z) = 35 + 14z km.
Now, total distance after 3 weeks =
(35) + (35 + 7z) + (35 + 14z)
= 105 + 21z km.
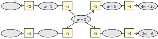
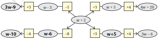
5. In the following figure, observe how the expression w + 2 becomes 4w + 20 along one path. Fill in the missing blanks on the remaining paths. The ovals contain expressions and the boxes contain operations.
Ans:
6. A local train from Yahapur to Vahapur stops at three stations at equal distances along the way. The time taken in minutes to travel from one station to the next station is the same and is denoted by t. The train stops for 2 minutes at each of the three stations.
(a) If t = 4, what is the time taken to travel from Yahapur to Vahapur?
(b) What is the algebraic expression for the time taken to travel from Yahapur to Vahapur? [Hint: Draw a rough diagram to visualise the situation]
Ans:
(a) When t = 4
- Time for each journey between two stations = 4 minutes
- Number of such journeys = 4, so total running time = 4 × 4 = 16 minutes
- Stoppage time = 2 minutes at each of 3 stations = 3 × 2 = 6 minutes
Total time = 16 + 6 = 22 minutes
(b) Algebraic Expression
Let time taken to travel between two stations = t minutes
Then,
- Running time = 4t (since 4 equal journeys)
- Stoppage time = 3 × 2 = 6 minutes
So,
Total time = 4t + 6 minutes
7. Simplify the following expressions:
(a) 3a + 9b – 6 + 8a – 4b – 7a + 16
(b) 3 (3a – 3b) – 8a – 4b – 16
(c) 2 (2x – 3) + 8x + 12
(d) 8x – (2x – 3) + 12
(e) 8h – (5 + 7h) + 9
(f) 23 + 4(6m – 3n) – 8n – 3m – 18
(a) 3a + 9b – 6 + 8a – 4b – 7a + 16
3a + 9b – 6 + 8a – 4b – 7a + 16
= (3a + 8a – 7a) + (9b – 4b) + (–6 + 16)
= 4a + 5b + 10
(b) 3 (3a – 3b) – 8a – 4b – 16
3(3a – 3b) – 8a – 4b – 16
= (9a – 9b) – 8a – 4b – 16
= (9a – 8a) + (–9b – 4b) – 16
= a – 13b – 16
(c)2(2x – 3) + 8x + 12
= (4x – 6) + 8x + 12
= (4x + 8x) + (–6 + 12)
= 12x + 6
(d) 8x – (2x – 3) + 12
= 8x – 2x + 3 + 12
= (8x – 2x) + (3 + 12)
= 6x + 15
(e) 8h – (5 + 7h) + 9
= 8h – 5 – 7h + 9
= (8h – 7h) + (–5 + 9)
= h + 4
(f) 23 + 4(6m – 3n) – 8n – 3m – 18
= 23 + (24m – 12n) – 8n – 3m – 18
= (24m – 3m) + (–12n – 8n) + (23 – 18)
= 21m – 20n + 5
8. Add the expressions given below:
(a) 4d – 7c + 9 and 8c – 11 + 9d
(b) – 6f + 19 – 8s and – 23 + 13f + 12s
(c) 8d – 14c + 9 and 16c – (11 + 9d)
(d) 6f – 20 + 8s and 23 – 13f – 12s
(e) 13m – 12n and 12n – 13m
(f) – 26m + 24n and 26m – 24n
Ans: (a) 4d – 7c + 9 and 8c – 11 + 9d
(4d – 7c + 9) + (8c – 11 + 9d)
= (4d + 9d) + (–7c + 8c) + (9 – 11)
= 13d + c – 2
(b) – 6f + 19 – 8s and – 23 + 13f + 12s
(–6f + 19 – 8s) + (–23 + 13f + 12s)
= (–6f + 13f) + (–8s + 12s) + (19 – 23)
= 7f + 4s – 4
(c) 8d – 14c + 9 and 16c – (11 + 9d)
(8d – 14c + 9) + (16c – (11 + 9d))
First, simplify the second bracket: 16c – 11 – 9d
Now add: (8d – 14c + 9) + (16c – 11 – 9d)
= (8d – 9d) + (–14c + 16c) + (9 – 11)
= –d + 2c – 2
(d) 6f – 20 + 8s and 23 – 13f – 12s
(6f – 20 + 8s) + (23 – 13f – 12s)
= (6f – 13f) + (8s – 12s) + (–20 + 23)
= –7f – 4s + 3
(e) 13m – 12n and 12n – 13m
(13m – 12n) + (12n – 13m)
= (13m – 13m) + (–12n + 12n)
= 0
(f) (–26m + 24n) + (26m – 24n)
= (–26m + 26m) + (24n – 24n)
= 0
9. Subtract the expressions given below:
(a) 9a – 6b + 14 from 6a + 9b – 18
(b) – 15x + 13 – 9y from 7y – 10 + 3x
(c) 17g + 9 – 7h from 11 – 10g + 3h
(d) 9a – 6b + 14 from 6a – (9b + 18)
(e) 10x + 2 + 10y from –3y +8 – 3x
(f) 8g + 4h – 10 from 7h – 8g + 20
(a) 9a – 6b + 14 from 6a + 9b – 18
= (6a + 9b – 18) – (9a – 6b + 14)
= 6a + 9b – 18 – 9a + 6b – 14
= (6a – 9a) + (9b + 6b) + (–18 – 14)
= –3a + 15b – 32
(b) Subtract (–15x + 13 – 9y) from (7y – 10 + 3x)
= (7y – 10 + 3x) – (–15x + 13 – 9y)
= 7y – 10 + 3x + 15x – 13 + 9y
= (3x + 15x) + (7y + 9y) + (–10 – 13)
= 18x + 16y – 23
(c) 17g + 9 – 7h from 11 – 10g + 3h
= (11 – 10g + 3h) – (17g + 9 – 7h)
= 11 – 10g + 3h – 17g – 9 + 7h
= (–10g – 17g) + (3h + 7h) + (11 – 9)
= –27g + 10h + 2
(d) 9a – 6b + 14 from 6a – (9b + 18)
Simplify second part first: 6a – 9b – 18
Now subtract: (6a – 9b – 18) – (9a – 6b + 14)
= 6a – 9b – 18 – 9a + 6b – 14
= (6a – 9a) + (–9b + 6b) + (–18 – 14)
= –3a – 3b – 32 = -(3a + 3b + 32)
(e) 10x + 2 + 10y from –3y +8 – 3x
= (–3y + 8 – 3x) – (10x + 2 + 10y)
= –3y + 8 – 3x – 10x – 2 – 10y
= (–3x – 10x) + (–3y – 10y) + (8 – 2)
= –13x – 13y + 6
(f) 8g + 4h – 10 from 7h – 8g + 20
= (7h – 8g + 20) – (8g + 4h – 10)
= 7h – 8g + 20 – 8g – 4h + 10
= (–8g – 8g) + (7h – 4h) + (20 + 10)
= –16g + 3h + 30
10. Describe situations corresponding to the following algebraic expressions:
(a) 8x + 3y
(b) 15x – 2x
Ans: (a) 8x + 3y
Suppose a shopkeeper sells pens and pencils.
- The cost of one pen = x rupees
- The cost of one pencil = y rupees
If a student buys 8 pens and 3 pencils,
then the total cost = 8x + 3y rupees.
So, 8x + 3y represents the total cost of 8 pens and 3 pencils.
11. Imagine a straight rope. If it is cut once as shown in the picture, we get 2 pieces. If the rope is folded once and then cut as shown, we get 3 pieces. Observe the pattern and find the number of pieces if the rope is folded 10 times and cut. What is the expression for the number of pieces when the rope is folded r times and cut?
Ans: No fold and 1 cut gives 2 pieces.
With 1 fold, 1 cut gives 3 pieces.
With 2 folds, 1 cut gives 4 pieces.
With 3 folds, 1 cut gives 5 pieces.
So, we can see that each time we fold once more, we get an extra piece.
Number of pieces = r+2 = 10+2 = 12
Therefore, for 10 folds, 1 cut will give 12 pieces.
The expression for the number of pieces when the rope is folded r times and cut once is r + 2.
12. Look at the matchstick pattern below. Observe and identify the pattern. How many matchsticks are required to make 10 such squares. How many are required to make w squares?
Ans:
Step 1: To make 1 square, we need 4 matchsticks.
Step 2: To make 2 squares, we need 4 + 3 = 7 matchsticks.
Step 3: To make 3 squares, we need 4 + 3 + 3 = 10 matchsticks.
We can see that after the first square, each new square adds 3 more matchsticks.
So, for w squares,
Number of matchsticks = 4+(w–1)×3
= 4+3w–3
= 3w+1
Now, for 10 squares, substitute w = 10:
3(10)+1 = 30+1 = 31
13. Have you noticed how the colours change in a traffic signal? The sequence of colour changes is shown below.
Find the colour at positions 90, 190, and 343. Write expressions to describe the positions for each colour.
Ans:
The sequence of red lights is: 1, 5, 9, …
So, the general rule for red lights is 4n – 3 positions.
The sequence of green lights is: 3, 7, 11, …
So, the general rule for green lights is 4n – 1 positions.
The sequence of yellow lights is: 2, 4, 6, 8, …
So, the general rule for yellow lights is 2n positions.
Now, both 90 and 190 are even numbers,
so they fit the pattern 2n, which represents yellow lights.
For 343, when we divide 343 by 4:
343 ÷ 4 = 85 remainder 3.
This matches the pattern 4n – 1, which represents green light.
14. Observe the pattern below. How many squares will be there in Step 4, Step 10, Step 50? Write a general formula. How would the formula change if we want to count the number of vertices of all the squares?
Ans:
- Number of squares in step 1 = 5
- Number of squares in step 2 = 5+4 = 9
- Number of squares in step 3 = 5+4+4 = 5+2×4 = 13
- So, number of squares in step 4 = 5+4+4+4 = 5+3×4 = 17
- So, number of squares in step 10 = 5+9×4 = 41
- And, number of squares in step 50 = 5+49×4 = 201
So, the general formula = 5+(n−1)×4 = 5+4(n−1) = 5+4n−4 = 4n+1.
Since 1 square has 4 vertices, the number of vertices ( 4n+1 ) squares have 4(4n+1)=16n+4.
15. Numbers are written in a particular sequence in this endless 4-column grid.
(a) Give expressions to generate all the numbers in a given column (1, 2, 3, 4).
(b) In which row and column will the following numbers appear:
(i) 124
(ii) 147
(iii) 201
(c) What number appears in row r and column c?
(d) Observe the positions of multiples of 3.
Do you see any pattern in it? List other patterns that you see.
(a) Expressions for numbers in each column
Let the row number be (top row is r = 1). Then the number in
- Column 1 = 4(r−1)+1 = 4r−3. (gives 1, 5, 9, …)
- Column 2 = 4(r−1)+2 = 4r−2. (gives 2, 6,10, …)
- Column 3 = 4(r−1)+3 = 4r−1. (gives 3, 7,11, …)
- Column 4 = 4(r−1)+4 = 4r. (gives 4, 8,12, …)
These are all equivalent to saying: number at row r, column c is 4(r−1)+c.)
(b) To find the row and column of any number, we divide it by 4 and compare it with the formula
Number = 4(r−1)+c
(i) For 124
124÷4 = 31 remainder 0
⇒ 124 = 4×31+0 = 4×30+4
Comparing with 4(r−1)+c:
r−1 = 30, c = 4
r = 31, c = 4
So, 124 is in row 31 and column 4.
(ii) For 147
147÷4 = 36 remainder 3
⇒ 147 = 4×36+3
Comparing with 4(r−1)+c:
r−1 = 36, c = 3
= r = 37, c = 3
So, 147 is in row 37 and column 3.
(iii) For 201
201÷4 = 50 remainder 1
⇒ 201 = 4×50+1
Comparing with 4(r−1)+c:
r−1=50, c=1
⇒ r = 51, c = 1
So, 201 is in row 51 and column 1.
(c) The general formula for the number in row r and column c is:
(d) By observing the grid pattern:
Every third number is a multiple of 3.
Even numbers always appear in columns 2 and 4.
Odd numbers always appear in columns 1 and 3.
Each row has 2 odd and 2 even numbers.
The sum of each row increases by 16.
Row 1: 1 + 2 + 3 + 4 = 10
- Row 2: 5 + 6 + 7 + 8 = 26
- Row 3: 9 + 10 + 11 + 12 = 42






















Leave a Reply