Notes For All Chapters Science Class 9
1. Introduction
→ Gravitational Force of Earth: If we release a small stone without pushing it from a height, it accelerates towards earth.
→ The stone is when accelerated towards earth, means some force is acting on it. The force which pulls the objects towards the centre of the earth is known as gravitational force of the earth.
→ Here, stone also attracts earth. It means every object in universe attracts every other object.
Newton’s Universal Law of Gravitation
→ Sir Isaac Newton in 1687 proposed a law about the force of attraction between the two objects in the universe which is known as Newton’s law of gravitation.
According to Universal law of Gravitation
→ Every mass in this universe attracts every other mass with a force which is directly proportional to the product of two masses and inversely proportional to the square of the distance between them.
• Let masses (M) and (m) of two objects are distance (d) apart, then force of attraction (F) between them
F ∝ M×m
F ∝ 1/d2
F ∝ Mm/d2
F = (GMm)/d2
where,
G is a constant and is known as Gravitational constant.
Value of G = 6.67×10-11 Nm2/kg2
G is called universal gravitational constant.
→ If unit of F is in Newton, m is in kg, d is in metre, then unit of G can be calculated as :
G = (F×d2)/Mm, therefor unit will be Nm2/kg2
Relation between Newton’s third law of motion and Newton’s law of gravitation
→ According to Newton’s third law of motion, “Every object exerts equal and opposite force on other object but in opposite direction.”
→ According to Newton’s law of gravitation, “Every mass in the universe attracts the every other mass.”
→ In case of freely falling stone and earth, stone is attracted towards earth means earth attracts the stone.
→ But according to Newton’s third law of motion, the stone should also attract the earth.
It is true that stone also attracts the earth with the same force F = m × a but due to very less mass of the stone, the acceleration (a) in its velocity is 9.8 m/s2 and acceleration (a) of earth towards stone is 1.65×10-24 m/s2 which is negligible and we cannot feel it.
Importance of universal law of gravitation
(i) The force that binds us to the earth.
(ii) The motion of moon around the earth.
(iii) The motion of earth around the sun.
(iv) The tides due to moon and the sun.
2. Free Fall
When an object falls towards the earth due to the earth’s gravity and no other force is acting upon it, the object is said to be in a free-fall state.
Acceleration due to Gravity (g):
Objects in free fall experience acceleration due to Earth’s attraction.
This is called acceleration due to gravity (g).
At Earth’s Surface
If d = R (radius of Earth):
g = 9.8 m/s²
Where:
g = Acceleration due to gravity
G = Universal gravitational constant = 6.673 × 10–11 N m2 kg–2
M = Mass of the Earth = 6×1024 kg
R = Radius of the Earth = 6.4×106 m
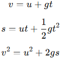
Equations of Motion for Free Fall
All uniformly accelerated motion equations apply, replacing 𝑎 with 𝑔:
3. Mass
→ The mass of a body is the quantity of matter contained in it. Mass is a scalar quantity which has only magnitude but no direction.
→ SI unit of mass is kilogram which is written in short form as kg.
• Mass of a body is constant and does not change from place to place.
• Mass of a body is usually denoted by the small ‘m’.
• Mass of a body cannot be zero.
4. Weight
Weight (W): Force with which the Earth attracts a body.
W = mg
- SI Unit: newton (N)
- Acts vertically downward.
- Weight changes with place (since g varies), but mass remains constant.
4.1 Weight on the Moon
Since the Moon has less mass and smaller radius:
That means:
Weight on Moon = 1/6 of Weight on Earth
| Feature | Mass | Weight |
|---|---|---|
| Definition | The total quantity of matter contained in an object is called mass of an object. | The gravitational force by which Earth attracts an object is called weight of the object. |
| Formula | Mass of an object can be measured by its inertia. | Weight = mass × acceleration due to gravity (W = mg) |
| Variation | Mass of the object remains constant at all places. | Weight of the object varies from place to place. |
| Instrument Used | Measured using a pan balance or beam balance. | Measured using a spring balance. |
| Effect of Zero Gravity | Mass does not change even if g = 0. | Weight becomes zero if g = 0. |
5. Thrust and Pressure
Thrust
- The force acting perpendicular to a surface.
- Unit: newton (N)
Pressure
The force that acts per unit area of the object is pressure.
Pressure is denoted by ‘P‘
- Thrust per unit area.
= (force/ area = F/A)
SI Unit: N/m² = Pascal (Pa)
5.1 Pressure in Fluids
- Fluids (liquids and gases) exert pressure on the base and walls of the container.
- Pressure is transmitted equally in all directions.
5.2 Buoyancy
- Whenever an object is immersed in a liquid, the liquid exerts a buoyant force or upthrust in the opposite direction of the gravitational force. This is also called the Force of Buoyancy.
- It depends upon the density of the fluid.
- Therefore an object is able to float in water when the gravitational force is less than the buoyant force.
- Similarly, an object sinks into the water when the gravitational force is larger than the buoyant force.
5.3 Why Objects Float or Sink
If weight > buoyant force, object sinks.
If weight < buoyant force, object floats.
Density determines floating or sinking:
- Object with density < fluid → floats.
- Object with density > fluid → sinks.
6. Archimedes’ Principle
When a body is immersed fully or partially in a fluid,
it experiences an upward buoyant force equal to the weight of the fluid displaced.
Applications of Archimedes’ Principle
- Designing ships and submarines
- Measuring purity of milk (lactometer)
- Measuring liquid density (hydrometer)









Leave a Reply