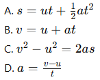
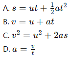
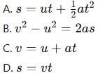
MCQ Equations of Motion Chapter 7 Class 9 Science Advertisement MCQ’s For All Chapters – Science Class 9th 1. The relation between final velocity, initial velocity and acceleration is given by ABCDQuestion 1 of 172. Which equation of motion gives the relation between displacement and time? ABCDQuestion 2 of 173. Which equation of motion is known as the “velocity–time relation”? ABCDQuestion 3 of 174. What is the SI unit of acceleration?m/s²m/s³m/sm²/sQuestion 4 of 175. The equation 2as = v² - u² is derived by eliminatingstvuQuestion 5 of 176. The distance covered by that car before stopping is6 m10 m12 m24 mQuestion 6 of 177. In the equation v = u + at, what does ‘t’ represent?Time of travelTotal distanceUniform accelerationFinal velocityQuestion 7 of 178. The equations of motion are applicable only whenAcceleration is uniformVelocity is constantMotion is circularForce is zeroQuestion 8 of 179. If an object starts from rest, then its initial velocity isZeroOneInfiniteEqual to final velocityQuestion 9 of 1710. From v = u+at, if v = 0 then a =u/tt/uv/tutQuestion 10 of 1711. A train starting from rest attaining 72 km/h in 5 min, the acceleration is 1/5 m/s²1/15 m/s²2 m/s²15 m/s²Question 11 of 1712. If a car accelerates from 18 km/h to 36 km/h in 5 s, what is its acceleration?1 m/s²2 m/s²5 m/s²0.5 m/s²Question 12 of 1713. As mentioned on the previous car, the distance covered in 5 seconds is12.5 m25 m37.5 m50 mQuestion 13 of 1714. A car moving at 12 m/s stops in 2 s when brakes are applied.The acceleration is+6 m/s²–6 m/s²–12 m/s²0Question 14 of 1715. Which quantity becomes zero when an object starts from rest and moves uniformly?Final velocityAccelerationInitial velocityTimeQuestion 15 of 1716. The second equation of motion representsVelocity–time relationAcceleration–velocity relationPosition–time relationForce–distance relationQuestion 16 of 1717. The unit of distance in the equations of motion ism/smm/s²sQuestion 17 of 17 Loading...
Easy peasy, I got 15 out of 10…
the test was easy
Thanks
I love you